上一页
下一页
设计说明
编著和出版
第一单元
第一课
第二课
第三课
第四课
第五课
第二单元
第六课
第七课
第八课
第九课
第三单元
第十课
第十一课
第十二课
第十三课
第十四课
第十五课
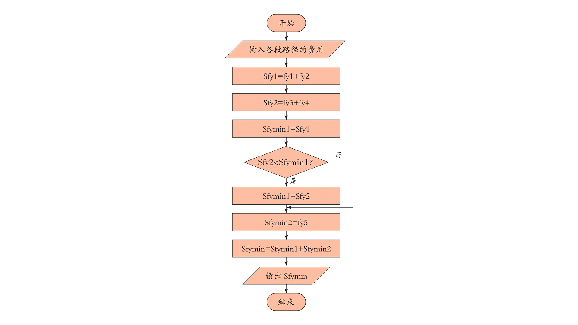
i=1 while i!=0: nianling=int(input("请输入您的年龄:")) if nianling<6: print ("买票")
边数
j=360/i
目录
1
-
2
页
确定
退出